NAGRODY W SZKOŁACH PODSTAWOWYCH 2025
Ile warta jest codzienna praca z dziećmi?
Za liczbami stoją konkretni ludzie. Nauczyciele, wychowawcy, pracownicy administracji i obsługi. Kilkadziesiąt osób, które każdego dnia odpowiadają za edukację, bezpieczeństwo i rozwój najmłodszych mieszkańców naszej gminy.
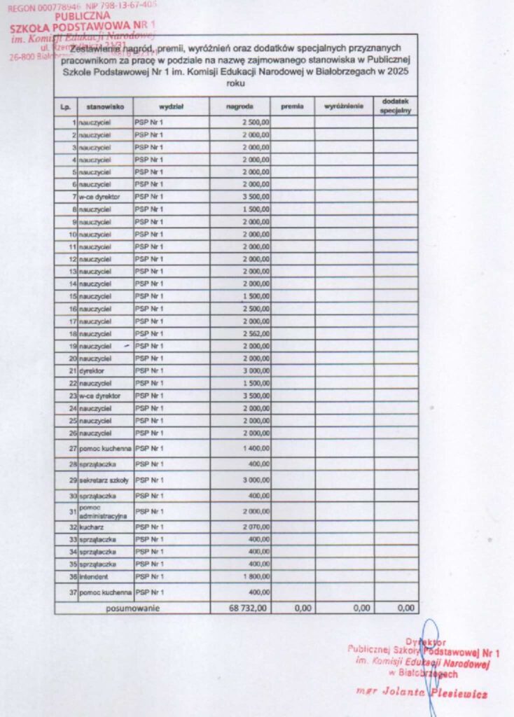
Postanowiliśmy kolejny raz sprawdzić, jak wyglądało przyznawanie nagród w placówkach oświatowych prowadzonych przez gminę. Dane dla PSP nr 1 i PSP w Suchej przedstawiamy poniżej.
Nie oceniamy. Pytamy.
Czy taki podział środków odzwierciedla priorytety naszej gminy?
Czy edukacja i opieka nad dziećmi są realnie traktowane jako inwestycja w przyszłość miasta?
Czy system nagród spełnia swoją motywacyjną rolę?
Nagrody to tylko jeden z elementów większej całości – obok stypendiów dla uczniów, planów remontowych czy długofalowej polityki oświatowej jak np. szkolenia dla nauczycieli, czy Erasmus.
Warto o tym rozmawiać.
Bo rozwój gminy to nie tylko infrastruktura. To przede wszystkim ludzie – także Ci, których pracy nie widać na pierwszych stronach.

